粘度計原理介紹:
同軸圓筒旋轉黏度計因其測量系統采用圓柱形轉筒 ,通過圓筒旋轉使被測試樣受到剪切而得名. 這種儀器最初產生于 1890 年 ,經過不斷完善 ,到上世紀 40 年代后期 ,由于其適用范圍廣 ,測量結果準確 ,操作方便而得到普遍應用 ,現已成為最常用的流變測量儀器。
這種儀器有兩種類型 :一類是內筒以一定的轉速旋轉 ,用傳感器測定作用在外筒或內筒上的轉矩 ,簡稱內旋式或上旋式黏度計. 另一類是使外筒旋轉 ,而用傳感器測定作用在內筒軸上的轉矩 ,稱為外旋式或下旋式黏度計[1]. 在旋轉速度等條件相同的情況下 ,這個轉矩將隨流體的黏度而變化 ,黏度越大轉矩越大 ,因此測定轉矩就可以知道流體的黏度。
1 公式推導
1. 1 旋轉黏度計的基本公式
圖 1
旋轉黏度計測量系統示意圖
同軸圓筒旋轉黏度計測量系統如圖 1所示 ,在半徑為 r2 的外筒里同軸地安裝了半徑為 r1 的內筒 ,在兩同軸圓筒間充滿了黏性流體. 若內筒以等角速度 Ω旋轉 ,外筒固定 ,則由于流體具有黏性 ,圓筒旋轉時將帶動流體運動.
假設流體運動滿足以下條件 :1) 兩筒為無限長 ;2) 圓筒表面無滑移 ;3) 流體為牛頓流體 ;4) 在垂直于轉軸的水平面上 ,流動的流線是圓 ,即速度僅是半徑的函數 ,徑向和軸向的流動為零 ;5)
運動為穩態的 ,即連續性方程和運動方程的時間導數均為零 ;6) 系統恒溫.在內外筒間距旋轉軸 r 處取厚度為 d r 的窄環. 考慮到條件 5) ,窄環流體作恒速流動 ,角加速度為零 ,所受合力矩必須為零 ,則窄環內側和外側所受的剪切力矩相等. 由于窄環是任意取的 ,故流體內各流層所受剪切力矩相等 ,均等于內筒轉動力矩. 各流層剪切力矩為

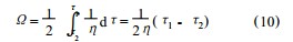
式中 , M 為各流層剪切力矩 , h 為內筒在流體中的高度 ,τ為各流層中的切應力.各流層剪切力矩 M 相等 ,但切應力τ卻不相等 ,它是半徑 r 的函數. 內筒表面上的切應力

外筒表面上的切應力
這里 r1 < r2 ,故τ1 >τ2.由式(1) 得

將上式對 r 求導 ,整理后得
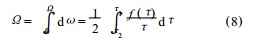
內外筒之間的流體因黏性作用在內筒帶動下層旋轉 ,各流層質點的角速度不同. 設距旋轉軸 r處 ,流體質點的角速度為ω( r) ,線速度 u = rω,則
其中 ω項不引起流體質點的剪切變形 ,又內筒旋轉式黏度計 dω/ d r < 0 ,于是切變速度的大小為

將式(5) 代入式(7) 得到
,再積分得
式(8) 便是旋轉黏度計的基本公式.
1. 2 牛頓流體的流變測量牛頓流體的本構方程為
式中 ,γ為切變速率 ,τ為切應力 ,η為流體黏度 ,將其代入基本公式(8) 得

將式(2) 、(3) 代入上式得
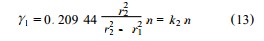
式中 , k1 為儀器常數. 對于指定的測量系統 ,內筒轉速一定時 , k1 為常數將τ=ηγ以及式 (11) 代入旋轉力矩平衡方程式(1) ,整理得內筒壁切變速率與轉速的關系 :
由式(12) 可見 ,牛頓流體的內筒壁切變速率γ1 僅與內筒轉速 Ω有關 ,與流體的性質無關. 如內筒的轉速為 n ,則
式中 , k2 為由測量系統尺寸決定的系數.由式(2) 得到內筒壁切應力與旋轉力矩的關系 :
式中 , k3 為轉筒尺寸決定的轉筒常數.因此 ,對于牛頓流體 ,試驗時測量內筒旋轉力矩M ,由式 (11) 就可算出被測流體的黏度 ;測量旋轉力矩 M 和內筒轉速 n ,分別按式 (13) 、(14) 計算切變速率與切應力 ,進而就能繪制流變曲線.
1. 3 非牛頓流體的流變測量和牛頓流體不同 ,對于非牛頓流體 ,其切應力與切變速率是非線性關系 ,其比值τ/γ隨切變速率(或切應力) 而變化 ,我們把這種在非牛頓流體場合下求得的不同的黏度值ηi 叫做在切變速率γi 下的表觀黏度或非牛頓黏度[2]. 非牛頓流體的流變測量可以采用表觀黏度測量方法進行.將非牛頓流體的本構方程γ= f (τ) =τ/ηB 代入旋轉黏度計基本公式 ,得
式中 ,ηB 是非牛頓流體的表觀黏度.當黏度計測量系統滿足窄縫條件 ,也就是內外筒半徑遠大于兩筒間隙時 ,由式 (2) 、(3) 得τ2≈τ1≈τ,即圓筒間各流層切應力相等. 由此 ,ηB 可在上式積分中近似取常值.積分上式 ,采用和牛頓流體相同的步驟得 :ηB = k1 M (15)
γ1 = k2 n (16)
τ1 = k3 M (17)
式中 , k1 、k2 、k3 分別與式(11) 、(13) 、(14) 中意義相同.根據以上分析 ,改變內筒轉速 ,同時讀取內筒旋轉力矩 M 和轉速 n ,按式(16) 、(17) 計算 γ1 、τ1 值 ,便可繪制流變曲線[2 ,3]
上述結果是外筒固定 ,內筒旋轉的內旋式黏度計測量公式. 若是內筒不動 ,外筒旋轉 ,經推導可得到同一形式的關系式 ,只是式中 Ω 為外筒轉速. 需要說明的是 ,這種基于窄縫條件的測量方法是一種
設定被測試樣各點表觀黏度是常量的流體測量的近似方法 ,但由于其測量方法簡單 ,且尚能滿足一般工程流變測量的精度要求 , 故成為工程界常用的方法.
2 公式修正
由于儀器構造的限制 ,實際上進行黏度的測定時 ,不可能用無限長的圓筒 ,因此由圓筒的旋轉所產生的黏性力矩 ,不僅受兩筒側面部分的影響 ,也受圓筒的上下兩個端面部分的影響 ,特別是底面部分的影響更大. 因此有必要對上述計算公式作出修正.當內筒上下端面在被測試樣內旋轉時 ,兩端產生附加力矩 ,相當于增加了內筒的高度 ,則he = h +Δh (18)式中 , he 為修正后的內筒高度 ,Δh 為附加高度.Δh可用試驗的方法確定. 在內外筒間充入不同高度的試樣 ,以充樣高度 h 和單位角速度旋轉力矩 M/ Ω作圖 ,在 h 軸上的截距就是Δh 值(如圖 2)
3 結束語
同軸圓筒旋轉黏度計的優點是 ,當內外筒間隙很小時 ,被測流體各部分的切變速度接近均一. 但是由于儀器構造的限制 ,即便操作上正確無誤 ,也會使受測試樣的實際流動狀態和測量的假設條件不完全相符 ,造成一定的測量誤差.
單就消除端面效應來講 ,如果加長圓筒 ,并且將圓筒底面間的距離加大 ,就可以縮小這個影響 ,如圓筒相當長時可忽略這個影響[2]. 某些旋轉黏度計為了減小端面附加力矩的影響 ,在構造上進行了改進 ,例如在內筒的上下安裝輔助圓筒或者使內筒底部向里凹進 ,使空氣進入這里 ,還有把內筒底部做成圓錐等特殊的形狀結構. 但是這種結構上的改進仍有局限性 ,測高黏性流體時 ,會因液面波動帶來測量數據的不確定。